基金排行(基金排行榜最新)
1、全市场基金数量已经过2万,选基的难度日益增加与此同时,各类基金榜单奖项排行榜层出不穷然而,当我们复盘这些名单时。
2、最近牛市阶段,涨幅有点大,投资机会不多,调整更新最新封闭基金的排名为1个月一次,除非有好的机会,就会重新更新周期。
3、基金排行“进化”从诞生到“升级”,基金排行都与用户需求息息相关 我国基金行业发展早期,大部分投资者对基金这一“舶来品”。

4、编者按2019年,是我国开展基金评价业务的第十个年头为强化长期评价导向,促进权益类基金发展,2019年12月,10家基金评。
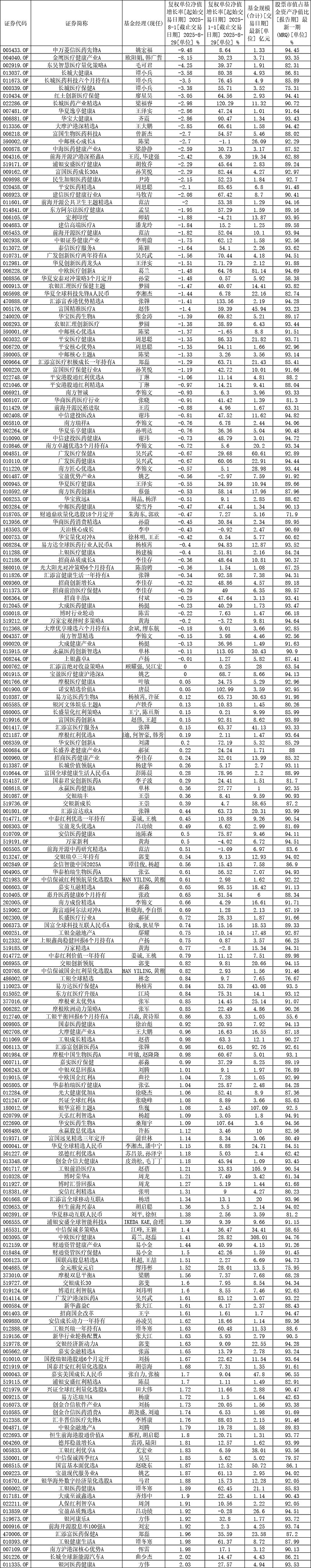
5、01最新的基金排名说明基金排名是通过模型计算出评分,然后根据评分来排名的,整个过程是机器计算,没有人工干预基金列表。
6、虽然收假了,但是大A还没开盘,那我们就来回顾一下9月的基金排行!9月的体验,虽然好不了哪去,但还是比8月要好些从风格来。
7、汇添富基金排名从第八降到第十,鹏华基金805336亿元掉出前十 2 公募基金非货规模100强 图表来自中国基金报,数据源自天。

8、货币市场型基金排名第二,表现为017%债券型基金排名第三,表现为01%股票型基金排名较为落后,表现为243%基金成立。
9、一狂热的基金排名和颁奖又到年底了,此时各个媒体和机构的颁奖进入了高峰,各类奖项及颁奖典礼蜂拥而至,充斥着各类媒体和朋。
版权声明:如无特殊标注,文章均为本站原创,转载时请以链接形式注明文章出处。









评论